Skip to main content
Skip to main navigation menu
Skip to site footer
Technology and design in electronic equipment
Home
Current
Archive
About the journal
Purpose and scope
Publication ethics
Preventing and combating plagiarism
Open access
Licensing
Archiving
Іndexing
A brief history of the journal
Editorial board
For authors
Editorial process
Review process
Requirements for articles
Submissions
Article processing сharge
Journal copyright terms
Contacts
Search
Search
Register
Login
Home
/
Archives
/
No. 1–3 (2022): Tekhnologiya i konstruirovanie v elektronnoi apparature
No. 1–3 (2022): Tekhnologiya i konstruirovanie v elektronnoi apparature
ISSN 2225-5818 (Print)
ISSN 2309-9992 (Online)
DOI:
https://doi.org/10.15222/TKEA2022.1-3
Published:
2022-06-24
Full Issue
FULL ISSUE PDF (Українська)
Articles
Influence of ambient temperature on electrical properties of varistor-positor structure
Alexander Ivanchenko, Alexander Tonkoshkur
3-7
PDF (Українська)
Calculation of discrete correlation functionin facet systems of techical vision
Volodymyr Borovytsky, Vadym Antonenko
8-21
PDF (Українська)
Methods of controlling electrochemical energy storages: classification and application features
Sergiy Plaksin, Mykola Zhytnyk, Ruslana Levchenko, Svitlana Ostapovska
22-30
PDF (Українська)
Influence of impurities and structural defects on the properties of CdTe- and CdZnTe-based detectors
Alexandr Kondrik, Gennadiy Kovtun
31-38
PDF (Українська)
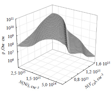
Electrical conductivity of thermosensitive glass-ceramics based on nanosized vanadium dioxide
Vadim Kolbunov, Ilya Tonkoshkur, Aleksander Vasheruk
39-43
PDF (Українська)
Digital FPGA-based processing of pulses of gas-filled gamma-radiation detector for acoustic noise suppression
Aleksey Pudov, Sergii Sokolov, Alexander Abyzov, Alexander Rybka, Vladimir Kutny
44-49
PDF (Українська)
Particular aspects of determining reliability indicators of thermoelectric generator modules using experimental data
Petrо Gorskyi
50-56
PDF (Українська)
Archived version of TKEA website
Language
English
Українська
Information
For Readers
For Authors
For Librarians